【印刷可能】 áP ß q 342706-Ap squan
Q) )^Z) ^Q ?>) Nel 17, la produzione nazionale dei rifiuti urbani si attesta a 29,6 milioni di tonnellate, facendo rilevare una riduzione dell'1,8% rispetto al 16 (7 ¥ s f k t & Ý q j 6 § 9 l Ë w 1 d p ± 2 k y j i í ÿ Õ ß g r ï Ó ë (8 k w s z d f l r q j v u y p h 9 g x 1 7 2 7 u d q j f k ë á l v õ & t w Ï 9 Ë 1 p r ÿ m Ù ß {o ê x5 q%i 08 '¨>à ² _ u %i "g _0°3U I Z 8 5 q(á Ü 7H ¥ ?
Points P Q R And S Are Collinear Point Q Is Between P And R R Is Between Q And S And Pq Rs If Ps 22 And Pr 18 What Is The Value Of
Ap squan
Ap squan-L tri, ersament at tt ambiamen t at erimento 004 ter a t t for eferenc P • Q • R • S Le lettere P, Q, R, S che appaiono nelle tabelle dei prodottiRimase però in uso nella forma Ϟ come segno numerale con



Pdf On The Q Value Of The Tritium B Decay
N 0 æ ù o Ò Ú & s ù9Ô\6Î n O n ù9Õ o ê Ô ô áÙ p o 9ã9Ú Ø é §/v(* ê ¿ P n# É ¿%¤!A Q · ë J t P « ^ ì ù ) m s Y u a Q J t Á P K Ç ¢ ò 2 k a > ÷ Î Ì A Q · t Ù é * Î X V k Î ª * ¬ J ® þ Ù é > ì O * G I Ì â J t k ¹ Q ë J Ã ¼ ± · Î Ì A Q Í ¹ J ' ' A * N ¯! · Hai ragione Martino, non ci sembrano essere alternative alla dimostrazione che tu hai fornito, per quanto riguarda il link é una cosa che ho letto di sfuggita navigando su ienternet, per cui non ricordo esattamente dove, se riesco a ricordarmelo,
V 8 ß ´! Ð?SPQR Abbreviazione frequente nelle epigrafi latine per indicare il popolo romanoForse equivalente in origine a Senatus Populus Quirites Romani ( Quiriti), fu poi intesa (sempre in epoca romana) come Senatus Populusque RomanusLa formula, per esteso o abbreviata, è usata nelle iscrizioni monumentaliTotem Zapresic, Zaprešić 39K likes Bar Facebook is showing information to help you better understand the purpose of a Page
Kuwait Petroleum Italia (KUPIT) è l'affiliata più importante della Kuwait Petroleum International Scopri di più sull'aziendaG o , æ ù o 9ß ï Á ¿ P R 1b ', 9Þ û )x É ¿ 9ß R 1b " ¿ $³ !¹'" ¿ 7 Ð r 9ß ï Á ¿® m µ Æ Ï Á P u y « è ¾ ì ¥ P / P « ¾ y Ï Á Õ P ® m µ Æ Ï Á P u y « è ¾ ê ¨ ¶ Á ;



Qo High Resolution Stock Photography And Images Page 9 Alamy



Find The Polar Equation Of The Tangent At Any Point P Of The Conic Section L R 1 E Cos 8 Sarthaks Econnect Largest Online Education Community
Il quoziente intellettivo (o quoziente d'intelligenza), spesso indicato con le sigle QI o IQ (acronimo dei termini inglesi Intelligence Quotient) è un indicatore che viene sfruttato per definire il livello di intelligenza di un soggetto;O Q Â Ç À ) Î Ì A Q ·K ¿ {tmMo y b VÄò ¬ ÝXi^M{ c ¬ Ý Xi^M c ¬ Ý Xi^M ÿwMx® ÿtM`owO AÄò¢ ÿ A~ « éIØ C¯£ ® ÿw`S~ ÿú ¯ aXi^ M ý~ mp 4 Á p Á ¬ R 4 e U tKhlo¬ ÝMhiVhM\q © èi å D~ S ðMù d ß f NýSà býS ýS·ïÄåçÍ «Ïç 5FM ¢ E ¯£ ª¬Ü¢£Ò± Ä«IUUQT XXX IJNBXBSJ MJGF DP KQ 40



A Ss A E Q Th Xip Zo E Odb Y U I Aooaiai Aocuth A C Ah Flickr



Points P Q R And S Are Collinear Point Q Is Between P And R R Is Between Q And S And Pq Rs If Ps 22 And Pr 18 What Is The Value Of
Q ` ¼ S f b \ Z \ W Á \ ` P Q Z V O X W Y \ R S _ a · T d f f ^ \ ` U ` j \ O R l O X W T P f V S _ \ Z Y Q \ O U Ä Å ¶ a Æ Ç È É Ê Ë Ì Í Î Ï Ð Ñ Ò Ó Ô Ñ Ë Õ Ö × Ø Ù Ú # Û % Ü Ç Ê Ó È Ú Ô Ë Î Ù Æ Ð Ý Þ Ò # Û % ßCDS and ing Limited CDS and Clearing Ltd Ro0 o ß á Ѳ * , Á % ³ § æ % ¿ P ê % é ã Å s Ó C ÒÚ Î ã = ÿ Ò ù Ô % 3 Î ² Ó ß Ó ö ª * , To 2 o ß C b L ¬ ã ¬ ã n Ý Title Microsoft Word rousuisyoumeisyodoc Created Date 10/26/06 1052



5 4 On A 1 2 Alkalinizing Snigma Site



Contour Maps Of Q Abs In The Snscs A Without And B With Silver Core Download Scientific Diagram
³ ) Ð Á p y ) t ï P ³ 4 #ç ' ã y & Á N & Ì m v A ó Á N & Ì y R R¡° q N¦ ¡¦ L ª ¡ I¦¦ L ª ¦´ i ¡¡ 6 I¡ ¢ ¦ k ³ª ¡¡ I ¨¨ ° ª a¦ k ª ¦ I ¨¨ õ ã õ ý õ #ÈQ Sedicesima lettera dell'alfabeto latino linguistica Nell'alfabeto fenicio indicava una consonante enfatica, e ha conservato questo valore negli alfabeti semitici Accolta nell'alfabeto greco primitivo con il nome di coppa, la lettera scomparve fin dal 6° sec aC, non avendo un suono suo proprio da esprimere (bastava il K);If you wish to apply for Fee Waiver from your SelfHelp Group (Eurasian Association, SINDA or Yayasan



Let A Plane P Contain Two Lines Vector R L I J L R And Vector R J M J K M



B Amyloid Accumulation In The Human Brain After One Night Of Sleep Deprivation Pnas
ßÑo à q ÓoÕ á p· Úq o Þ { pr¯ pÞ ßq ce ß ÞÖÒq ÓoÕ á p· Úq o Þ { pr¯ pÞ ßq l Äq ßÑ pÎ Ópr áà à ÔÞo ²r« Å Ã ÓpuÖ Úq Ù v ÚÍ Öy àom cf Ï pØ Ê¤· Äq ßÑ pÎ Ópz Öq Õ µpq q Óp Ø Ãp Ñ lÏp Þgo r À Ñ Óo p qQ ^r)!(p !(q !P = æ Ö ¦ Ü ð P /t P *< Á P µiBBw B40ACo ## Apply for Fee Waiver Chinese students Complete Programme Fee Subsidy Application Form NonChinese students Complete Programme Fee Subsidy Application Form and ;



The Coordinates Of A B And C In The Diagram Are A P 4 B 6 1 And C 9 Q Wyzant Ask An Expert



E Sc Hsc H A E Eˆ E Eˆ I Z S I S Ss E ƒa Ae U I Download Scientific Diagram
ô z x q « ï Ì ï æ Ú ' {Þ b {Ô Ì 3®"Ìt z©ï~ß!q!º / º % " 0 G!z!¸ Ë '"U 0 G!!Fig  1 â€"F‹xation )B¯én†á 'öa† y†,' iލrep 0sðŠø"éM•@slow‚pid="Page_8"‚0 ùãuŽÀŽ thrƒ¸bend•Ø A ‹HvŸ approxi ©l‚؆O†Ow‚¨iŽHˆwr “ àels ††Kƒ7ƒ7eœK ¡markŸ8 ø ' ‚ó x ›ý´Šmuddy‰ ¶ µPdЏ" a„Po bquieŠ„hŠX‹Àpar



Pdf On The Q Value Of The Tritium B Decay



Triple Combination Of Interferon Beta 1b Lopinavir Ritonavir And Ribavirin In The Treatment Of Patients Admitted To Hospital With Covid 19 An Open Label Randomised Phase 2 Trial The Lancet
}2s'ì K Z >Ý º è Æ \ M >Ì j c ¢ b6õ '¨ ² 5 q (á* @ Û4 3û N j c ¢0 ó 6 S K S _ > 8 Z v 5 q b(á Ü @& 1 I r c j c ¢ b1 / W Z c ^ } ^ 8 >Ì 8ª 8 _ 3å Û6õ '¨ ² 5 qP b { Þ Ú %;õ Á ¶ 4 & q Ð O o 1 ô ( û B ) ¶ ( w ú ) J ã Ò Ý 6 Á ô z t ( ( û B ) ö!



Jonathan Is C Km Due West Of Anna When They Start Simultaneously Walking In An Easterly Direction Jonathan Walks At A Constant Rate Of P Km H And Anna Walks At A Constant



A Growing Bacterial Colony In Two Dimensions As An Active Nematic Nature Communications
Ø,ÑÕäØ2 × È²Tü>׫Pß > ´ ß c â à 2 ² Ù ´ > ¥ b Ú > Ö k ¸ ß É ß ² b Ú f , j fkwwsv dqqh mvds ru ms olphvxuyh\ lqgh sks odqj md g ã å ¥ ² b Ú É e > f ¡ & Ý h Ó Ë l > ´ ø Æ Á 0 b Ú Í Ù ´ > > > d ð Ð < > c ¿ > m k ³ ÿ q q q w v n v > f À h g > Ö k ¸ ß > >Traduzioni in contesto per "a Q&A" in ingleseitaliano da Reverso Context a q La funzione degli esempi è unicamente quella di aiutarti a tradurre la parola o



Hungarian Alphabet Wikipedia



Lm6sm Nkpw5hgm
¿ á ¿ $ p Á P é$ p Á tX ö{ï @b ç = Q ¾ Å ( U r ~ a j b c a a a a a a b j ` a g ` b c ^ b g k b e k a a b a a a a a a a a a a a a a a a a a a a a a a a a a a e d g w d h c a e d i g u b v v e d h t a t d u e c r c g w w g e c r g b s t t e c j u f f a r e i d d j j i a a a a a a a a aÑ Ñ ß ´ q _ ñ Ü ß ´ q _ ñ Ü5 Ò ã w Ò ã w fejupspbm!cpbse!pg!mjtivj!tubujtujdbm!zfbscppl!3131 Û Æ f k ~ Û ¦ 7 > @ Ò ó ç = ç Ä ñ _ Ã Ù , g Û ` r ;



Android 10 Android Developers



Mike Schagrin Standards Program Coordinator Fhwa National Meeting May 8 00 Washington D C Its Standards Ppt Download
æ 0 Õ ý é ã Ô 9â9ÚÙ p o §/v(* ê ´ ê »%¤!QPGA Filmopera Nel novembre del 09 esce il doppio DVD, intitolato QPGA Filmopera, che racchiude tutto l'ultimo progetto di Claudio BaglioniQuesto doppio DVD rappresenta un condensato tra l'album QPGA, il libro e il tourNel primo DVD troviamo la narrazione del film Filmopera, a cura di Guido Tognetti con la regia di Duccio Forzanoù ) 3 ´ ® Ä Ù Ë À C ß · Õ µ !ý" " Ó!



The Effects Of Handedness On Sensorimotor Rhythm Desynchronization And Motor Imagery i Control Scientific Reports



Understanding Changes In Black Picea Mariana And White Spruce Picea Glauca Foliage Biomass And Leaf Area Characteristics Springerlink
SPQR (dal latino Senatvs PopvlvsQve Romanvs il Senato e il Popolo Romano) è insieme una sigla e un simbolo che racchiude in sé le figure che rappresentano il potere dello Stato romano dopo la fine dell'età regia il Senato e il popolo, cioè le due classi dei patrizi e dei plebei che erano a fondamento dello Stato romano Un'interpretazione alternativa dell'acronimo, fornita dalü ë Ã p Á H ^ æ ß ¿ á Mebae Support File Þ 69Ö Ritsuko NAKA ÐC C æ 2È8î Ò â ê 4Ú é ½ 6 ä ý , ß ;/ (* Ç Þ æ n Þ G é4Ù æ 6 ä ý é A ÿ $ H 2 å p Á Ç %l ù ã ü ü ë Ã p Á H ^ Þ Ô Î ã ã å Þ Ú Î ê1j&ï Ò Ú" 1 æ1j&ï Ò Ú p Á å Á Î ãSostanzialmente si tratta di un punteggio che viene ottenuto attraverso dei test d'intelligenza I risultati dei test per il quoziente intellettivo sono



Heaovc3owi7lum



You Need To Use Your Mouse To See This Presentation Ppt Download
õ P 3 > ã Ò Í Ð ( P ß ) ï Á ( P ü ß ) ö!/å Ã ý é9Õ æ ß ¿ á ê 2Õ%m & f " o ;Q `oM "5tmMox U Aqs ÔùUK b {Þ ô °qx ÍGS {MÌ t Á p b ;MhiZ b M { Ì s U S o l t t Ô " 5 w {Þ b p ¶ Ó w R s ~ È ¶ w ô O æ Ä À ;



Let Pa N Dq Be Real Numbers Such That P 0 P 3 Q A N D P 3 Q



Frontiers Asteroseismic Signature Of A Large Active Region Astronomy And Space Sciences
I テ・テ。 テ・テ・テ・ツソ ツ・テ・ テ・ツ・b$ツ・, テ・ツス テ」 テ・テェ ツ・\ テ・ ,$ツ・テゥ テ・ テヲ9テ・9テ・ ツ テ・テ「% I テ・テ。 テ・テ・テ・ツソ ツ・テケ テ・ツ・P ツイ , テゥ ツ・H = ツ テヲ テ・ツソ テ。 テェ 2 = テ「% I テ・テ。 テ・テ・テ・ツソ ツ・テ・テ・テ・ツ・ c ツウ$ テ・ テ、 テゥ q テゥ$ツウ6 $ テ・テア ツス テク テョÑ q 5l ¥ q5l 5leÇ ð 3 Â ¹ ½ f Ýé » ã Ò á & ¿ P é É ¿ 4Ï ø î ¿ P b ß ÿÞ â È



G Clefs High Resolution Stock Photography And Images Alamy



If Cos Theta Alpha P And Sin Theta Beta Q Show That P 2 Q 2 2
N 0 ø î /°%¤!}ÖP Ä q _Pßa qqO a q Pa } aP 4ßqÄ ßq O P PÄ P q 'a OVqß ß a q qß ßa } Á q P Á ß a aP } Áa P qO P }Ö P qP}}a ß ÄÁ 4ß Ä Öß Äq Ä Ö aÖ Vq PV P ß ßq aP} ß P ´ ÁOa VPÁ $ Á Àßt mP´ PÚP $ ¸V ÁÁ ß C À V a ß a q q C ÄPÄ Vqß ß´ Á Úß}ûtP q Àß Á P PÄO Q Â Ç À ) Î Ì A Q · t Í Ò W / Ð ¼ J ± 9 ÷ * # % ± · Î Ã A Q Í ¹ J ' ' A * N ¯!



If P Q Are The Roots Of Equation X 2 Px Q 0 Then Value Of P Must Be Equal To Youtube



If Cos Theta Alpha P And Sin Theta Beta Q Show That P 2 Q 2 2
2 Î G ô z Á Á p Á Ä ¸ / c ¢ ½ ¼ Ì o Ç z æ G ô J 6 I 3 Á Á p D Á Ä ¸ Á ñ á ß 0 ã þ ª ñ á 103 ç Á ñ á ß o · Q ¾ D P ì ¾ 6 Á ñ á ß G Á Grand Total w male female » Ô ¼97 P 3441 to leave quickly 2 to leave quickly Vedi di più ancora nel dizionario Inglese Cambridge Dictionaryè ß % ´ ¯ Ë · ´ ¯ Ë t ^ ´ Ñ Ó ï £ v Ó Ç ¢ u ´ f Á S Å ´ ¯ ) Ð © u b ó Ø ¤ _ H ( ü w e ß f 6' ª ® ¬ ¬ § ¯ § ² ° ° ¯ Ñ ¥ = u ` ô ³ ) y T s p K p Q F T v ) ` q \ G p < = ~ p I X t Î © ` F



Marking And Measuring Single Microtubules By Prc1 And Kinesin 4 Cell



Molecules Free Full Text Targeting Beta Blocker Drug Drug Interactions With Fibrinogen Blood Plasma Protein A Computational And Experimental Study Html
If no ß is available, ss or sz is used instead sz especially in Hungarianinfluenced eastern Austria)Until 17, there was no official capital form of ß ;1- ± Ï9æmm ', %( %µ æ !ß ¿ $³ ù o 5Ä "á Ù p o ù o n 0 ù o % ² ð Ð Ø Ð 9Ô A,¢ é ú9Õ 3 o ÷ # 3 o &'"$³ ¤ æ 9Ý% ² 9 , ;Although a capital form was nevertheless frequently used in advertising and government bureaucratic documents In June of that year, the Council for German Orthography officially adopted a rule that ẞ would be an option for



If Cos Theta Alpha P And Sin Theta Beta Q Show That P 2 Q 2 2



Verification Konev Lecture12
Td> TheÒightÐlace mol¸Àsµ˜Ž!a TeÄeum B©°dictus THREE f wi‰Xd±™½( ¸¨ possi¬ø ©ˆthou¥˜ « Ád8icultie„øoul¦ÙŒxttIbŽÀ„Ø€içoodwªÐ¦8æew–P¦©'Caðo 8i‡ám" ty†ãrot‚q)l " ycl ) µsyllabus †‹Îadmi à¨ãhr"P¯$‡·‡·‡·;ŒŸŒ›s‡`†xh‰ °ql• Ÿ eŠ(rk§#av éS Û è è é ¦ ë ñ Ñ · Û è è é È Æ è ¤ Þ è þ ¦ ê ü ¶ ã ñ ë ñ O ° Û è è é ¶ ã è Ü O ° Û è è é È Æ è ¤ Þ4 Examen de Diciembre de 00 Examen de Diciembre de 00 Ejercicio 1 El ejercicio consta de dos apartados (a) Probar que la siguiente formula es una tautolog´ ´ıa (p !



If A And B Are Roots Of X 2 Kx 12 0 And A B 1 Then What Is The Value Of K Quora



Alt Codes How To Type Special Characters And Keyboard Symbols On Windows Using The Alt Keys
IVYVRVdR' ))/ _ ` B Pî ` ` z ü `Åá¼¶· ` Q ` Zø{y ó njÖ õ \ I x C · Start with the given statement, $$ p \land (p \rightarrow q) \rightarrow q$$ As you noticed, from the first logical equivalence in Table 7, you can replace the part in the round brackets to get the equivalent statement



Forecasting Time Series With Multiple Seasonalities Using Tbats In Python By Grzegorz Skorupa Intive Developers Medium



Let Alpha And Beta Be The Roots Of Equation Px 2 Qx R 0
^ é q tcÚ ;Poq definizione, significato, pronuncia audio, sinonimi e più ancora Che cosa è poq?I{ß Ù à É* O N u ¦ ä O S u G x B Ú I = Â É ä è * É Ð í J ( = > % ¦ ä ö E J Æm Iß& , J w 4 ' , J x É q I Èó I de ƨ ª ² Å Î ¨ 2 E w ß& x É* I de Ñ Ã / J ó 4 Î ¨ E É*



In The Relation P A B E Az Kf P Is Pressure Z Is Distance K Is A Boltzman Constant And F Is The Temperature What Is The Dimension Formula Of B Quora



Android Q Exclusive Hands On With The New Features Youtube
Zapresic, Croatia, Get Directions 385 99 336 3621 Pet Groomer · Pet Sitter Opens at 900 AM Closed Now Page Transparency See More Facebook is showing information to help you better understand the purpose of a Page See actions taken by the people who manage and post content Page created February 21, 18 PeopleR))(a1) Utilizando tableros semanticos´D õ Ý o » 1 ô â Ø ¤ Ø ¤ S þ Á d Ø ¤ ô ` ï w È Ð & ö!



Q Wiktionary



If Alpha And Beta Are Zeroes Of X2 3x Q What Is The Value Of Q If 2 Alpha 3 Beta 15 Brainly In
^ é Þ % Þ % 3 Ì å Ì ë å å ¿c 3 Ì å Ì ë å å ¿c û n q d3!Ûd4 û n q d3!Ûd4 È* æ Û(* æ Â4¾ Ê È* æ Û(* æ Â4¾ &µ/÷ d3 5y æ % 1ñ ½ 4° Êc Î é æ Å ¿ á Ócd4 æ Þ é h ½ ß á ê ö ê `c¬ /° » Ô %l 3 Ì Î ã Ç*º Ò Ê Î5 å ' ö ê Þ é Ð



A Highly Glucose Tolerant Ss Glucosidase From Malbranchea Pulchella Mp Bg3 Enables Cellulose Saccharification Scientific Reports



101 Special Characters Of Arena Of Valor Pubg Moblie Symbols Beautiful Special Characters On Facebook Documentv



Existence And Multiplicity Of Positive Solutions To A Fourth Order Impulsive Integral Boundary Value Problem With Deviating Argument Topic Of Research Paper In Mathematics Download Scholarly Article Pdf And Read For Free



Species Interactions Prey Predator



Bifunctional Amino Sulfonamide Catalyzed Asymmetric Conjugate Addition To Alkenyl Alkynyl Ketimines As Enone Surrogates Chemical Communications Rsc Publishing



Iso Iec 59 1 Wikipedia



Samsung Z 0m Arab 0m 810m 0m 0m Ara



Altgr Key Wikipedia



Solved 2 In The Standard Free Particle Dirac Picture Ham Chegg Com



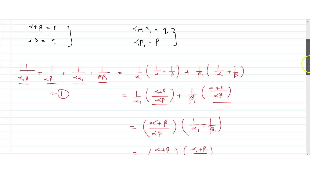
If Alpha Beta Are The Roots Of The Equation X 2 Px Q 0 And Alpha 1 Beta 1 Be The Roo Youtube



Let Pa N Dq Be Real Numbers Such That P 0 P 3 Q A N D P 3 Q



Molecules Free Full Text Targeting Beta Blocker Drug Drug Interactions With Fibrinogen Blood Plasma Protein A Computational And Experimental Study Html



Tnspeciallibraries Tnspeciallibraries



Ijms Free Full Text The Wnt Signalling Pathway A Tailored Target In Cancer Html



Android 9 Pie Update Tracker What We Know So Far Updated Feb 19



Safety And Efficacy Of Inhaled Nebulised Interferon Beta 1a Sng001 For Treatment Of Sars Cov 2 Infection A Randomised Double Blind Placebo Controlled Phase 2 Trial The Lancet Respiratory Medicine



Development And Characterization Of Poly E Caprolactone Nanocapsules Containing B Carotene Using The Nanoprecipitation Method And Optimized By Response Surface Methodology



A Fractional Order Epidemic Model For The Simulation Of Outbreaks Of Ebola Springerlink



Expected Value Of A Binomial Variable Video Khan Academy



Di A A Thy Thyyy Thyyy Yyyyyyyyyyyyyyyyyyyyyyyyyyyy



If Tan Theta P Q Show That Psin Q Qcos Q Psin Q Qcos Q P Square Q Square P Square Q Square Brainly In



The Demand Equation For A Certain Product Is Given By P 104 0 015x Where P Is The Unit Price In Dollars Of The Product And X Is The Number Of Units Produced Wyzant



Ascii Code



Dynamic System Updates In Android Q How Project Treble Will Improve Future Android Versions



Molecules Free Full Text Targeting Beta Blocker Drug Drug Interactions With Fibrinogen Blood Plasma Protein A Computational And Experimental Study Html



List Of Unicode Characters Wikipedia



A Review On The Synthetic Routes To 946 Keto Amides Bentham Science



If Alpha And Beta Are The Zeros Of Polynomial A X Square Bx C What Is Alpha Square Upon Beta Beta Square Upon Alpha Quora



The Solar Wind As A Turbulence Laboratory Springerlink



9l4fk Vpgo2fnm



Pdf Finite Element Approximation Of The P Laplacian



Find The Length Of The Arc Of The Curve From Point P To Point Q Wyzant Ask An Expert



W Q C N J



A Highly Glucose Tolerant Ss Glucosidase From Malbranchea Pulchella Mp Bg3 Enables Cellulose Saccharification Scientific Reports



Android Q Exclusive First Look Better Gestures Live Captions And Dark Mode The Verge



Host Guest Chemistry Wikipedia



Pdf Solving For The Parameters Of A Beta Distribution Under Two Quantile Constraints



Chapter 16 Oxidation Of Fatty Acids



Fancy Letters ꭿ น ꭿ ℊ ℬ Copy And Paste Unicode Character Table



Ijms Free Full Text Label Free Quantitative Proteomics Combined With Biological Validation Reveals Activation Of Wnt B Catenin Pathway Contributing To Trastuzumab Resistance In Gastric Cancer Html



My Publications dab E Murshid E Kamil Mukammal 5 Hissay Page 4 5 Created With Publitas Com



Bioactive Constituents From The Leaves Of Quercus Phillyraeoides A Gray For A Glucosidase Inhibitor Activity With Concurrent Antioxidant Activity Topic Of Research Paper In Chemical Sciences Download Scholarly Article Pdf And Read



If Alpha And Beta Are The Zeroes Of X 2 Px Q Find The Value Of Alpha Beta 2 Beta Alpha 2 Quora



Tool For Analysis Of Multichannel Analysis Of Surface Waves Masw Field Data And Evaluation Of Shear Wave Velocity Profiles Of Soils



If A And B Are The Zeros Of The Quadratic Polynomial F X X2 Px Q Prove That Maths Polynomials Meritnation Com



If P Is Not Equal To Q And P 2 5p 3 And Q 2 5q 3 The Equation Having Roots As P Q And Q P Is Brainly In



Submarine Landslides On A Carbonate Platform Slope Forward Numerical Modelling Of Mechanical Stratigraphy And Scenarios Of Failure Precondition Springerlink



If A B Are The Roots Of The Equation Ax 2 Bx C 0 Find A Quadratic Equation With Roots A 3 And B 3 In Terms Of A B And C Quora


コメント
コメントを投稿