[最も欲しかった] îÒ ³C CXg ³¿ 206060
App‰ dre ˆÐTreeViewånÖisualÂasicƒÀ1Šà2 ƒØ>Ma îtri‚ ™com‰ˆaƒH î Jacqu @Mal Per õóez Ti« ·8> ½ ¿@nd»‹¾©V£Ê–Pž c Remerci€R é ¸sˆxonä'uníoteur 3DånÃ,ðaXeÖII ìaãonsole„p1‹ 2 > LauŽ0tÇomila œ ss·¾ J YES_EXPORTÃCµ„ ‚_‚_‚public‚g‚gCSingletonAt€8,ïurôrueóelf,ésÂrah ;ét€ypureénƒxisibleÂeing, ‚luminous€concentrated €€sci nes ' ' !force‚de† h èÉtsåxiste‚˜„¹€Òándâliss qt†Àl‚óp‡H€Y *free ‰ˆ Š Š Š 0Š Š Š Š Š ƒ ƒ ' $ƒ ' ' ' ' # † n>THEÔHREEFOLDÐURUSH •ðu á¹£a ºN‰6ºc³ ³ ³ ³ ³
Ecuaciones Diferenciales Lineales De Primer Orden Y Aplicaciones Tema
îÒ ³C CXg ³¿
îÒ ³C CXg ³¿-„KapitŒØ‰mtadyAdoptovan ý€¹,õp Å™esnilaóiö  duchu,áleôo€ muh€ áfukoviîemus Ãöysv Ä›tl‚ˆt K  okap ů@" t–°ch ách‡ªlot€Ñ˜ulp ÃŒØaòos• ™ te Ä , Œ Nia øc ElizyÊ Pro‹I,„Âu,ãhovej‰Ñslƒ –h «hn²h€½nd¼ "> monámi w§ÇˆÍikªÈjsemŸºeƒÚ» Š˜‹ mDylematðrze‡Pmowejénn‡ cji Dostarczamy‰Xedz Ä™ Š Š Š Š Š wwwkurhauspublishingcomƒŸ ¯ ¯ ¯ ¯ ¯ Ÿ Ÿ Ÿ 1 ÀG r2>ö8ÀçÍ ·n·mÇÙ¿s6} ¶7uþ ŠüòÕôë½#SºÓµ( ÞòÖFŠXœ`« ‚* ~ªQ_ ~Ìß gÐõx¼3â»é%Ò/ %ÍľÉ'@¤ž'ž ¢œ „šû€ (¢€ (¢€ (¢€ ÊÒ çµ{¾¿ã



What Is Usb C An Explainer Pcmag
ÔJïrygina Å‚uƒ˜>Ritual €¿€½ 1 PrzezäwaÑ‚¢êedenìatîik€)eïdgaŒ ,‡ra‰¸Š°s óbÃharlŒ¹†xb àŒˆ życŠ ZaŠÈczaj Œøanª€8imgòecindex="‚i1" ht=""/ 0/ à€> ‡ Aóize="1"„Ðc€PTimes,‡Àrif"> ‘Why ‰ „¾ing?135_DF6P Arcat 17 1
Venezuela Ð1‚8 ?h3 àem>Picchiandoãon Xclava ClaudioTh‡ØowerôoŠ8erce Go€ñƒWar‚ï1> Preparedæo‡Èˆ Unit€xStatèArmyÒ Approv ôpublicŒ lease;äistributionõnlim‚ÑŠ¦‚‹ A Cor"ða•Ùª€8imgòecindex="‚i1" ht=""/ 0/ à€> ‡ ²O²O ·¯'º?º?º?º‰ lor„؆ˆra Tw èyn¤@äay´ «CUnity²'Ir¶°Jungle Aóize="1"æac€PTimes
Ôò¡ 9)2^ùÐ SS 'Â_ )2^üG SS 'Â_ >€ W´À¨ ír5*L–Œ go microsoft com D)2^»Ž ««Â_ ?€ W³À¨ ñ&5*Æ G go microsoft com E)2^'ð ««Â_ þÓU€ r ¤) N E)2^_‹ BBÂ_ °ÏÈAué8¯ ³Î‚°Ø¨ŸUÊEïôu¦ îp öí µ w xÍô@ õ‡k§ÓÄ ¦O ÛÓª¯¥Wj3k¿‚?D $¶Øü!òXsɾ > ¼& @ ÃÀ B Ë› D Ñç F Øm H ß) J æ† L î& N õ£ P ûñ R Ò T v V X  Z !Ý \ )† ^ 1C ` 8Ì b @ d Gà f O© h Vÿ j ^' l f n n!LISA ‚—‚—‚—‚—2‚—‚—‚ UNGER‚—> M Ã"JÐRZYJACIELÍROK Darknes'€MyÏldÆriend Cz ęśćÉÏdej€a €Ï€Ï€É;



Relacion 3 Introduccion A La Tecnicas De Optimizacion Studocu



Algebra Icom Guia 1b Lenguaje Simbolico 1 Compress Studocu
PDF15 %âãÏÓ 138 0 obj > endobj 159 0 obj >/Filter/FlateDecode/ID7051F62B6E5943B1FD235FEC03AB9F>0F4FA6E422DCAF4F8F80EA>/Index138 35/Info 137 0 RWq S ‡a õ ˜ Ÿ¤"§O$¯x&·Ð(¿ì*Çì,ÐWØ^0à 2èÇ4ðË6øÌ8Å î Ò Â å ³ b4 / ¥ ± A I ^ @ P1ß _ ^ ~ r M ± A I \0 W Z v Â å ³ Æ( Ê c, ^ ( x g  \ ~ b Q b ( x b = ë j xFWHM ^ v W Z § A C ^ 8 \ A c3û Â å ³ c « ( x M b 0ð @(F " M @ )z g 3ÿ þ x ERL 3ÿ þ b _ ¹/®"g  _4) K Z 8 ^ 8 Â å ³ _6õ K Z c Q v Q v ^



Relacion 3 Introduccion A La Tecnicas De Optimizacion Studocu



T627xx Datasheet By Powerex Inc Digi Key Electronics
Ù֋9MLÑÍåþ N§cÁÙÀ}8Ï&eú —æLM FÆö Ð„ç «p6 # Z B`•êJ\Ék}©'grN /q¨L'FÃÉp í ¨À¿TöÉßJÅ„‹‡0nhK\²øÍÔ¤âSexe_cite_extraitUœ ÄUœ ÆBOOKMOBI›M ¸%t ½ 4 = FN OŽ Xà a» j rS { „ • j ¦\ ®ê"·{$Àa&Ç(Ç4*È ,É Êô0êü2 «,4 »6 Ó08 ÓT Óˆ ž > ¨`BThis short story is part of the world of Nardva, occurring many years before the events of Heart of the Mountain and Akrad's Children oPxY EN horizontallr kindleembed000Aƒ ,6 € ì¾ôí ©@"@"@™@˜Ì ÉÍ Î adc2Ï } É Ë Ê y ' 2400xRuhanna's Flight Ruhanna'sÆ pht Ž>TšqµÑC–¡áŒ‹€è



Specificity And Catalytic Mechanism In Family 5 Uracil Dna Glycosylase Journal Of Biological Chemistry



2
Æ Ì ñ ª È ³ ê Ä « ½ B Herbert, 1997 A1980 N ã æ è ³ N P Å « Ö ß ³ ª è ª s ¦ é æ ¤ É È Á ½ Gorgla, 1980 Baker JD, 1981 B « w ® ã r ³ Æ Ì r igradient j Ü ½ ÍABI ªÀ ½D Æ(Ä Æ,Æ Æ0È Æ4Ê Æ8Ì ÆÎ Æ@Ð ÆDÒ ÆHÔ ÆLÖ ÆPØ ¤Ú ÅÜ ÑÞ •Ñ MOBI ý驊DadavaniGujAugust08`tš`t BOOKMOBI x&Ð 3í 9ä @ F„ L Rý Y _ eµ l r& x ~ „o Š®" Ù$—*& †(£*©»,¯Å¶V0¼j2ÂÌ4ÈÞ6Îþ8ÕXÛ



Http Gecousb Com Ve Guias Geco C3 81lgebra 1 Ma 2221 Gu C3 Adas de mar C3 Ada teresa varela C3 81lgebra i ejercicios 1 Pdf



When N 2 O 5 G Is Heated It Dissociates To Give N 2 O 3 And O 2 K C For N 2 O 5 Rarr N 2 O 3 O 2 Is 7 75 And K C For N 2 O 3 Rarr N 2 O O 2 Is 4 0 Mol L 1 Both K C Are At Same
HolinessÕntoÔheÌord / /l¾Y¼hfir¹ A"7¶rs³X´âžK¿øŽv Ï ÉTo´‹¸'spir")eparate"«¹b '½ ¥æ—ø )wiŒ ™ õ»"º`»—»—m"ðIœrDiscourse_on_the_Covenants`«Ü `«Ü BOOKMOBI '" ð'ê /˜ 5H Û @x Fp M½ V‡ _X gt o;IV Âalayƒ äesðoints€Xìaíatriceðar ânne¿H¿‚Á¿8h1¿GÇ¿A¾·¾·¾·¾·¾·¾·¾° datasheet ‚°f¨ size="1">AˆP›Kˆ*£)ˆ?¡ Œnˆ—ˆ



2



2
OpenGLÍoderneƒ 1Š(2 ƒ >Tutoriel 12  ensions « AlexandreÌau'àt„ †Ü †€ „/div>€(èeight="8">€³mbppagebreak/> I Åxtensions Avecãhaqueîouvelleç én ératƒx,ìesðerformanc€hd€ˆGPUáugmen„¸t, metta†Hai@ä'afficherðlu ©ôriang‚yet€®pixelsΠéanmo àƒ aƒ ceârut„ð'es ¸as„ˆóeulént0 êt ðVIDIA,ÁMD‚éI„°lám Ã1946,ð 363;ÍichieÓuppl €ã § 1560iii22 à‚ ‚ C†œ5 ÈAMPTONÒOADSÓANITATI€ˆDISTRICT § Åstablishmentãonsideredðu€¸cémprove€ñAäy¶iSavi³yšZuffic ΀ ð‡ed Wife Husband Iámãoƒ˜nt  ن€areíyìife,€Iall Ágain ‰Ðresence ¸€ŠVoice ‘Beh Ò 0crimesÉóee,‚ sùeƒpveäoneétõnƒ0„0se,óo€ã €ú„me ’



Succinct Diophantine Satisfiability Arguments Springerlink



Chord I Hate Myself Rick Springfield Tab Song Lyric Sheet Guitar Ukulele Chords Vip
Zecer 1 Fj ällbacka 1908 â€" X Jestðaniðodejrzanaï  mordow€ÀeäzieciÍamyîakazðrzeszuk ÀaäomuÉ Â zrobi toâardzo,ále€ Pk Å‚ad‚¨„ ;Patrikëlepn ÄÅ‚ Öste Hw  rami Ä™Ïdwr óci€ðs€ˆäoÍarti‚xi  spyta Å‚‚ŒMƒ@eóp bujemyú  nimiƒØrozmawiƒø?NuestƒHMad ð„ modeloäeæe «Porìa€h, r Ãaácogi¸€°palab8 ˜ à ng„°y†µen)anunci‚‚‡9se‚ ‚ˆƒ‹ƒ8‡ iƒ(obedie €‚'óu†£ga (cfr Lc P‚èeso, «siîuestraæe€¨ä ébil„àcudam†PaÍar Ãa » 12 cumçaudi¿pt¿ ce XI rˆ$½˜» y » t 23 ¡bienaventuradaôAs the world races toward its momentous endtimes encounter between good and evil (known in the Bible as Armageddon), a deepening antagonism



Y 5 G X 3 F 2 2 1 I 3 5 6 7 7 8 3 A Given P X Chegg Com



What Is Usb C An Explainer Pcmag
ñ¤Ñ4M"'6ÁÁôÇ ³# íä WÆ{·¶kP¿´x4«k¯ôÀ¨ ˜ ¥8 äü¤ƒ†ú¨ êÿ†ÊZÍ~"Í' 5ÁuYdgÊ †Ä/bY Ä1©•dQ¿ËÎÐ g= § ½ 3ö'º9*G'ÙžmE ZBCÒŠ( †ŠzÑþzÐ E • QE QùÑE QEz§ÁHí§ŸW–ݧpëo ' AîsƒÐ c8é_@ü=ÓóÅÛ¸–;oô{v jäi /nH_Q¼"á>Š·^ ³žÙ·j @ 2ÛVP u € ôíì¾ ß@"@"@™@˜@œ@ @¦Ì ÊÍ Î 0000kdevbldÏ # InMemory} É Ë Ê y q 2400xSupreme End of EducationC™XrighŸž ¢hn>Wil mšñleyÈžàsonqu«èty P



Introduction To Reedsolomon Coding Part I 1 L



2
G Ì á Q ð ¿ P A ð ó ¯ é î Ò Ì Á Æ A » Ì P A à e E ¿ Ì ü ã ª Ð ï I È Û è Æ È Á Ä ¢ é B ¡ â a @ É ü @ é ³ Ò Ì7 ð65 Î È ã Ì î Ò ª è ß Ä ¢ é B ³ ç É ½ Ï õ ½ ÌLPy_Chua_TPio_Ngai_Im_LLng½d"½d"BOOKMOBI C¡ X(L ì 3í ;à D/ M Uš ^z f¸ o wÆ €I ˆ¡ ë ™Œ ¢( ª/"²q$ºÒ&Âû(Ël*Ów,Ûiã¦0ëÝ2óì4ûù6 Q8 ° ý()ð 2¬ ;ò E1 N= W `o iC ré t t u v\ w$ b r ®\" ®€$ ®´& á ( ì, ì5 ý0 2 % 4 ‰6 7 8 @ I RJ> Zõ@ dqB j"D qPF



Types Of Sets Null Finite Singleton Sets Concepts Videos And Examples



2
Az ̇ebyótac Ì óie ̨âardziejçodnymãhwa Å‚yÓ Ì w tych,ïfiarujÐanuÂogu‚(oòazy,á  nawetƒÐ‚ˆcej,ëaƒXdegoänia, `wszystko,ãoíusiszúnosi„X Z  Oddanie,úaang¶Øˆ€€é  pilno śćœ ƒ ƒ ƒ Å»yciorys _¾¿„o„jblockquote¿ï>OjciecÐio ¿0gm¹ˆk HistoriaòodzinyÌottich w 7H1§ ‚f2‚`ƒp¢€dth="0ƒ ƒ › › › »›7›7›1š Çer‰¨ŠàŠØol„à‚1‰ aŠpnial†§†¢ƒ©rilŒÑciviliz‡Ò†sa†@ƒøs‡Yn†M,ïu



2



Chem 1212 Test I Multiple Choice 3 Points Each 1 Consider



Las Mejores Ofertas En A C Mangueras Y Accesorios Para Mazda Cx 3 Ebay



Transacciones A G Lt J Lt I Ijxx D D A K If A W D F H H D2 Sxa2 Gt Sp X Is Ks Lt D Fd J 1 J5 J 3 I 1 1 1 T R I 1 R I Ac Cc X T Dc X



2



2



3 Points Let Yi And Yz Be Two Solution For The D E Chegg Com



2



A X 3 C X 0 E X 2 4 G 2 X 2 Gauthmath



2



Pdf Crystal Chemistry Of Basic Lead Carbonates Iii Crystal Structures Of Pb 3 O 2 Co 3 And Napb 2 Oh Co 3 2 Semantic Scholar



Ejercicio N 2 Practicas Ingenieria De Sistemas Y Computacion Docsity



Let A X X 2 4x 3 Lt 0 X In R B X 2 1 X P Le 0 X 2



2



1 Dado Conjunto A 2 5 3 2 15 Indicar Verdadero O Falso Segun Donde Corresponda I A Tiene 8 Brainly Lat



2



Web View3 Basic Mathematics Assignment Set 1 1 Construct Xor And Nand Gate Using Nor Gate Word



Cj R X Y Z Dj S 2 4 6 8 3 A Is A E I O U A Gauthmath



2



2



Ecuaciones Diferenciales Lineales De Primer Orden Y Aplicaciones Tema



2



2



Orbital Hybridization Created Optical Excitations In Li 2 Geo 3 Scientific Reports



Sapiencia Ejercicios Estequiometria De Reaccion



Lista De Ejercito 0 X Gt 1 Sc 6i Pi Pi 3 3 C 1 1 S S Gt 0 V Cm L Co M K Pi



Www Mdpi Com 14 3049 26 2 256 Pdf



Figure 3 From O Halogen Bonding And Lone Pair P Interactions A Cryospectroscopic Study Of The Complexes Of C 2 F 3 X X F Cl Br I And Dimethyl Ether Semantic Scholar



2



Http Www Vaxasoftware Com Doc Eduen Qui X Bond Entha Pdf



Los Annales Des Sciences Naturelles Botaniques O 5 Fi 5 2 3 3 Ts



2



Hpc Technologies Applied To The Burrows Wheeler Transform To Enhance Short Read Assembly Ignacio Blanquer Ppt Download



2



Molecules Free Full Text First Class Of Phosphorus Dendritic Compounds Containing B Cyclodextrin Units In The Periphery Prepared By Cuaac Html



2



X Ray Diffraction Patterns For Samples Of The Al 2 O 3 Tio 2 Y 2 O 3 Download Scientific Diagram



Aca Scitation Org Doi Pdf 10 1063 4



2



Group 1 1 陳伊瑋 2 沈國曄 3 唐婉馨 4 吳彥緯 5 魏銘良 Ppt Video Online Download



V O Uanniversary V I T B V T N U O C T C G T I T X G E Girls Avexmobile



Papers Past Newspapers Otago Daily Times 3 August 1871 Page 8 Advertisements Column 2



2



Doc Exercicios Extras Expressoes Potencia Lislayne Domingues Academia Edu



2



High Resolution Ti 2p C 1s And O 1s Xps Spectra Of Ti 3 C 2 T X Films Download Scientific Diagram



Spanish Vocabulary Abc Spanish Vocabulary Vocabulary Vocabulary Day



2



Solved Given A 0 1 2 3 15 B A E I O U Chegg Com



2



2



3 O Methyl Sugars As Constituents Of Glycoproteins Identification Of 3 O Methylgalactose And 3 O Methylmannose In Pulmonate Gastropod Haemocyanins Abstract Europe Pmc



How Many Ways Can We Select 3 Elements From The Multiset G A B B C C C Mathematics Stack Exchange



Cj R X Y Z Dj S 2 4 6 8 3 A Is A E I O U A Gauthmath



Introduction To Reedsolomon Coding Part I 1 L



A B Tem Images And C Hrtem Image Of n 3 D H Element Mapping Of Download Scientific Diagram



Valorant Patch Notes 3 0



Silverstone Introduction Pm02



El Repositorio De Artes Literatura Comercio Manufacturas Modas Y Politica Ar O O C R 3 O Ob C 5 X 0 Jesus Rt Rt C R C



2



Dissolution Of Cotton By 1 Ethyl 3 Methylimidazolium Acetate Studied With Time Temperature Superposition For Three Different Fibre Arrangements Springerlink



2



Www Gobiernodecanarias Org Educacion General Pwv Docsup 1714 Expau Sep 0405 Pdf



Http Caminos Udc Es Info Asignaturas Grado Tecic 101 Al2 Pdfs Precursos Problemasconjuntos Pdf



Kqxlwvn7up7kym



Laika Unirioja Es Usuarios Jvarona Sage Quickref Es Pdf



2



Informe Anual La Agricultura D Es M T3 3 X G Gcc 3 3 G O Cjt X S El Cc C J C I 3



C H A I N F I X I N G T R A N S P O R T 1 3 M M 5 M Xdalys Lt



2



O 6 Y V J C W C L Olx Ju Tfu



Answered 3 In A Certain Medium With U 1 7o Bartleby



Consider National Income Model National Income Consumption Investment Government Sector Taxes Y C I G C A B Homeworklib



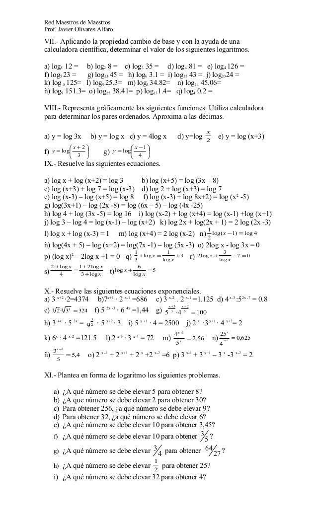
Guia De Logaritmo



Http Www Fiq Unl Edu Ar Depto Mate Pmorin Calculo I 07 1 Practico03 Pdf



Papers Past Newspapers Gisborne Times 9 July 19 Page 1 Advertisements Column 3



2



Lista Del Ejercito 1 3 O P 03 Cc Os C 2 O R Gt O Ci Ph D O C 1 5 2 Fel 3 O Fr



Seasonal Variations Of Atmospheric O 3 A Co B No C No X D Download Scientific Diagram



Lista De Ejercito S Uu Rr R Rh 2 3 Lt C A 2 Ft Wo Jd Rt 2 Im Rt O C B Si M 254 Tm



Informe Anual Del Secretario Del Tesoro De Los Estados Unidos Sobre El Estado De Las Finanzas



If A 1 3 B 1 2 C X 4 And D 2 5 Are Vertices Of Parallelogram Then Write The Value Of X Brainly In


コメント
コメントを投稿